阿摩線上測驗
登入
首頁
>
教甄◆數學
>
115年 - 115 新竹市立成德高級中學_正式教師甄選:高中數學科#138018
> 申論題
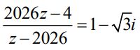
4. 設複數 z 滿足
,則 |z |= ______________。
相關申論題
8. 坐標平面上,有一P點先以原點?為中心逆時針旋轉 70°,再對直線L:( − 1)x − ( + 1)y = 0做鏡 射,其結果相當於P點直接對於直線M:y = (tan?)x做鏡射,其中0 ° ≤θ≤ 180°,求θ之度數為 ________。
#564992
9. 在數列 〈an〉 中,當 1 ≤n≤5 時,an= n2 ,且對所有正整數 n , an+5+an+1= an+4+an均成立,則a2031 = _____。
#564993
10. 設x為實數,試解2 x+4 x + 8 x = 39,x = ______________。
#564994
1. 請問數列中共有_________個相異整數。
#564995
2. 已知 a,b是正實數,若方程式 x2+2ax+16b=0 和x2+2bx+2a=0均有實數根,則a2+b2 的最小值為______。
#564996
3. 試求級數 之值為_________。
#564997
5. 右圖是一張圓形的紙張,半徑為 1,圓心為 O , 是直徑,是垂直的半徑, E 是 上一點滿足,沿某條折線 對摺,使得弧 AD 上某一點與 E 重合。 則 tan∠ OAD= _________。
#564999
1. 在 △ABC 中,=5,I 為 ABC 的內心, P 為 △IBC (包括邊界)內的一點,若 ( α,β∈R ) ,則α +β 的最小值為______________。
#564985
2. 分別執行 A、B 兩個伯努利試驗(Bernoulli trial),每次成功機率依序分別為a、b。若各執行n次,得 A 的成功次數期望值恰為 B 的5倍、A 的成功次數標準差恰為 B 的2倍,求(a, b) =_______。
#564986
3. 坐標平面上有一平行四邊形 Γ,其中兩邊所在的直線與 5x − 2y = 0平 行 、 另兩邊所在的直線與 8x − 7y = 0垂直。令Γ的兩對角線交點為 Q。已知 Γ有一頂點 P,滿足= − (5, 1) , 則Γ的面積為_________。
#564987
相關試卷
115年 - 115 新竹市立成德高級中學_正式教師甄選:國中數學科#138019
115年 · #138019
115年 - 115 新竹市立成德高級中學_正式教師甄選:高中數學科#138018
115年 · #138018
115年 - 115 國立陽明交大附中_教師甄選試題:數學科#137883
115年 · #137883
115年 - 115-1 臺中市臺中第一高級中學_教師甄選試題:數學科#137882
115年 · #137882
114年 - 114 國立臺灣藝術大學教育學程招生考試_綜合學科:數學#137131
114年 · #137131
114年 - 114 高雄市市立國民小學教師聯合甄選-專長類-普通科目試題:數學#131662
114年 · #131662
114年 - 114 澎湖縣國民小學暨附設幼兒園教師/代理教師甄選試題:數學#131655
114年 · #131655
114年 - 114 文藻外語大學師資培育中心__國民小學教師教育學程新生甄選試題:學科基本知識-數學#130715
114年 · #130715
114年 - 114-1 臺北市立復興高級中學_專任教師甄選試題:數學科#129383
114年 · #129383
114年 - 114-2 新竹市國民中學教師聯合甄選初試試題:數學科#128201
114年 · #128201