25. 已知空間中有三個點A(-1 , 1 , 0)、 B(2 , -1 , 2)、C(1 , -2 , -2),試求△ABC 的面積為何?
(A)9/2
(B)15/2
(C)9/4
(D)15/4

答案:登入後查看
統計: A(219), B(849), C(515), D(251), E(0) #2388750

詳解 (共 10 筆)

#4306402

5f8000e334123.jpg

103
5
#5222343


(共 1 字,隱藏中)
前往觀看
31
0
#4893169


(共 1 字,隱藏中)
前往觀看
22
1
#4743948

在下提供一個 【兩點距離公式 +  海龍公式 】     一樣能達成目的

設兩個點A、B以及坐標分別為4743948-6261b32017a58.jpg ,則A和B兩點之間的距離為:4743948-6261b32098499.jpg

所以線段AB=根號(3平方+負2平方+2平方)=根號17

線段BC=根號18

線段CA=根號17

------------------------------

再使用海龍公式

60aa4dbb008d1.jpg


則公式中S=(2根號17+3根號2)/2

三角形面積=根號[S(S-根號17)(S-根號18)(S-根號17)]=利用計算機驗算得=7.5

其中上式複雜根號都可以透過合併消除,不會遇到要計算根號的情況(所以切勿氣餒)


18
0
#4150929
原PO 題目出錯,害我解了1小時 ......

(共 27 字,隱藏中)
前往觀看
18
2
#4174439
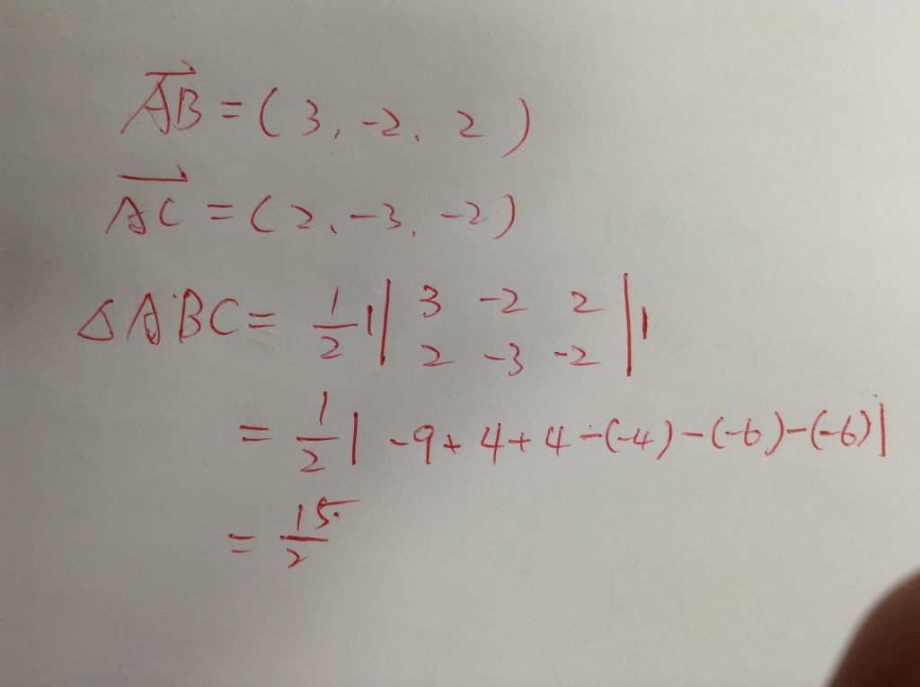
向量AB=(3,-2,2)  ->...
(共 495 字,隱藏中)
前往觀看
16
0
#4595073
樓上的解答  轉光線好~

(共 14 字,隱藏中)
前往觀看
13
0
#5254770
本題也可用向量公式來求解AB向量為(3,...
(共 112 字,隱藏中)
前往觀看
10
1
#4812743

看不懂最佳解絕對值裡的計算過程QQ

上網找到比較簡單的方式(直接跳到 04:50 )

https://www.youtube.com/watch?v=-qC62yEm7wM

帶入此題應該會是(如有錯誤請告知,我會盡快修改)

     二分之一 x 根號   17x17 - (六+六+負四)的平方

=  二分之一 x 根號   17平方 - 8平方

=  二分之一 x 根號   225

=  二分之十五

10
0
#4270599
A點是(-1.1.0)
(共 13 字,隱藏中)
前往觀看
3
1

私人筆記 (共 1 筆)

私人筆記#5933213
未解鎖
看不懂最佳解的可以看一下這個,或許會比較...

(共 24 字,隱藏中)
前往觀看
11
0