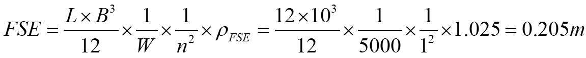
18. 排水量5000噸之船有一長12m寬10m之二重底艙。今打入比重1.025之海水,但具有自由液面效 應,則此船之視重心(Virtual center of gravity)上升量為多少公分?
(A). 16.5
(B). 18.5
(C). 20.5
(D). 22.5
答案:登入後查看
統計: A(11), B(35), C(95), D(21), E(0) #3552547
統計: A(11), B(35), C(95), D(21), E(0) #3552547
