阿摩線上測驗
登入
首頁
>
教甄◆數學
>
101年 - 嘉義市 101 學年度國民小學專任教師聯合甄選 #21197
> 試題詳解
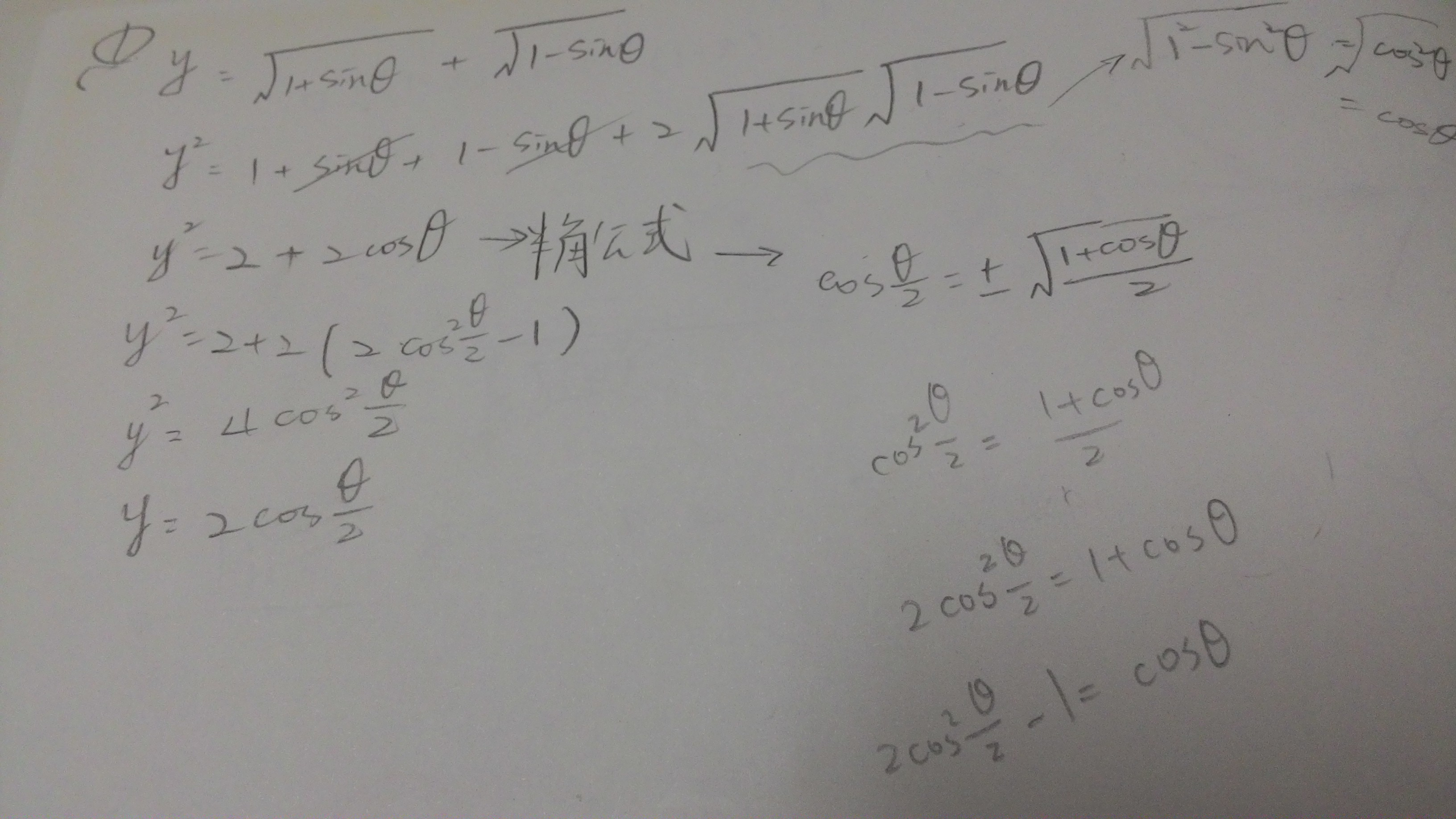
1. ( ) 設
,則 y 可化簡為何?
(A) 2sin
(B) 2cos
(C) 2
(D) cos
sin
答案:
登入後查看
統計:
A(6), B(28), C(15), D(15), E(0) #811832
詳解 (共 2 筆)
黃鈺雅
B1 · 2016/07/11
#1415123
5
0
小吉蛋syuan
B2 · 2022/03/27
#5396540
感謝解答
(共 6 字,隱藏中)
前往觀看
0
0
相關試題
2. ( ) 可化簡為何? (A (B) (C) 2log5 (D)
#811833
3. ( )平面上六點 ,若 △ABC 的面積為 2,則 △PQR 的面積為何? (A) 20 (B) 22 (C) 4 (D) 26。
#811834
4. ( ) 已知 P(1, -1,2) 、 ,則點 P 關於 L 的對稱點坐標為何? (A) (2,1,4) (B) (2, -1, -4) (C) (-3,3,6) (D) (3,3,6) 。
#811835
5. ( )試問坐標平面上共有幾條直線,使得點 O(0,0) 到此直線之距離為 1,且點 P(3,4) 到此直線之距離 為 4。 (A) 1 條 (B) 2 條 (C) 3 條 (D) 4 條。
#811836
6. ( )假設 x 為實數,求函數 的最大值為何? (A) 4 (B) 5 (C) 6 (D)7
#811837
7. ( ) 假設數列 是由正數所組成的等比數列且公比 r = 3 。若 ,求 之值為何? (A) 310 (B) 316 (C) 3 20 D) 324 。
#811838
8. ( ) 若直線 y= mx + 5 與 2 |x| +3| y| =6 之圖形恰有一個交點,則 |m| 為何? (A) 5/6 (B) 5/4 (C) 5/3 (D) 5 /2 。
#811839
9. ( ) 設 x 為整數且滿足不等式 ,則 x 有幾個? (A) 3 (B) 4 (C) 5 (D) 6 。
#811840
10. ( )甲是一隻長 1.6 ×10-5 公尺的微生物,乙是一隻長 80 奈米的病毒,已知一奈米是十億分之一公尺, 試問甲的長度是乙的幾倍? (A) 2000 倍 (B) 200 倍 (C) 20 倍 (D) 2 倍。
#811841
11. ( ) ,則? (A) a > b > c > d (B) a = b = c = d (C) a < b < c < d (D) a = d > b = c
#811842
相關試卷
113年 - 113 基北區國立臺灣海洋大學附屬基隆海事高級中等學校_高級中等學校特色招生考試分發入學能力測驗:數學#120683
2024 年 · #120683
112年 - 112 高雄市立高雄高級中學第一學期第三次段考數學科試題 A 卷_高一科學班:複數與多項式#118924
2023 年 · #118924
110年 - 數學4-3基準量與比較量之應用(兩量之差)-應用題51-89#101420
2021 年 · #101420
110年 - 數學4-3基準量與比較量之應用(兩量之差)應用題1-50#101418
2021 年 · #101418
109年 - [無官方正解]109 彰化縣鹿港鎮草港國小_上學期期中考試:數學#125235
2020 年 · #125235
108年 - 桃園捷運新進人員甄試共同科目B-數學#74528
2019 年 · #74528
105年 - 臺北市 105 學年度公立國民小學巡迴教師聯合甄選初試基礎類科知能試題-數學#84962
2016 年 · #84962
105年 - 台船105年技術類數學#47324
2016 年 · #47324
104年 - 勞動部勞動力發展署高屏澎東分署 104 年度第 4 梯次職前訓練招訓甄試試題學科-數學#76334
2015 年 · #76334
104年 - 台船 技術類 數學題庫#24588
2015 年 · #24588